您目前的位置: 首页» 学生工作» 品牌活动» 笔墨书师恩,征文传真情_ ——教科院举办“弘扬践行教育家精神”主题征文活动

笔墨书师恩,征文传真情_ ——教科院举办“弘扬践行教育家精神”主题征文活动

笔墨书师恩,征文传真情

—教科院举办“弘扬践行教育家精神”主题征文活动

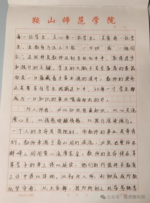
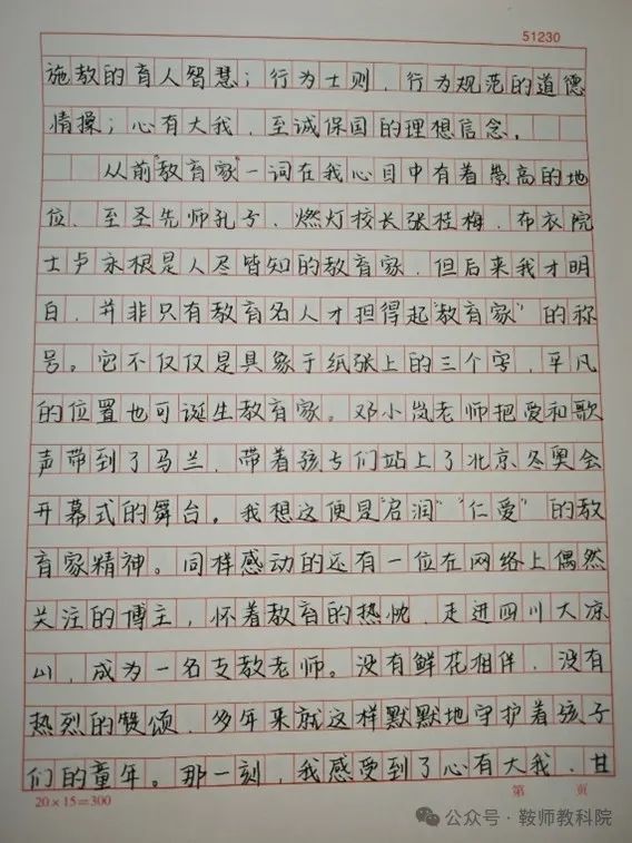
璀璨星河,知识传承;教书育人,师道永存。为弘扬尊师重教的传统美德,促进师生情感交流,增进师生间的理解和尊重,增强学生的文学创作能力,提升学生的文化素养,教科院特举办“弘扬践行教育家精神”主题征文活动。

以下为此次征文活动优秀作品展示:

一等奖

              2411孔凌艺

              2412班吴佳淼

              二等奖

              2405班安师漫

              2405李雨霏

              2402刘亭邑

               2411宰林

               三等奖

              2406周兴连

              2409李智豪

              2409王立淼

              2406李梦怡

              2405袁建斌

              优秀奖

               2402高语

              2411邢明珠

              2411王艺京

              2410郝子渊

             2310葛雪莹

此次征文活动进一步营造了学院尊师重教的良好氛围,为教科院的学子们提供了向老师表达感激之情的良好平台,激发了学生们对教师职业的尊重与赞美。愿每位同学都能铭记师恩,励志前行,以梦为马,不负韶华,共创辉煌!

本次参赛的所有作品将在职教城校区展出。